第一章:泛型(⭐)
1.1 概述
- 泛型(Generics)是在 JDK5 中引入的特性,可以在
编译阶段约束操作的数据类型,并进行检查。 - 泛型的语法:
<数据类型>注意
在 Java 中,泛型只支持引用数据类型!!!
- 示例:
package com.github.collection2;
import java.util.ArrayList;
import java.util.List;
public class Test {
public static void main(String[] args) {
// 限制 list 集合中只能存储 String,不能存储其它类型的数据
List<String> list = new ArrayList<>();
list.add("hello");
list.add("world");
list.forEach(System.out::println);
}
}2
3
4
5
6
7
8
9
10
11
12
13
14
15
16
- 示例:
package com.github.collection2;
import java.util.ArrayList;
import java.util.List;
public class Test {
public static void main(String[] args) {
// 限制 list 集合中只能存储 Integer,不能存储其它类型的数据
List<Integer> list = new ArrayList<>();
list.add(1);
list.add(2);
list.forEach(System.out::println);
}
}2
3
4
5
6
7
8
9
10
11
12
13
14
15
16
1.2 泛型细节
1.2.1 没有泛型时的 Java
- 在 JDK5 之前,由于 Java 还没有引入
泛型(Generics),集合类(ArrayList,HashMap等)都是基于Object类型 来存储元素的。
提醒
- ① 这个机制其实非常简单粗暴 —— “一律当作 Object 存储”!!!
- ② 存储元素的时候,默认都是 Object 类型。
- ③ 读取元素的时候,针对特定类型,需要手动强制类型转换。
注意
在没有泛型的时候,会有如下的问题:
- ① 类型不安全 —— 编译器无法检查类型。
- ② 容易抛出
ClassCastException。 - ③ 可读性和可维护性都很差!!!
- 示例:存储元素的时候,默认都是 Object 类型
package com.github.collection2;
import java.util.ArrayList;
import java.util.Date;
import java.util.List;
public class GenericsTest {
public static void main(String[] args) {
List list = new ArrayList();
list.add(1);
list.add("hello");
list.add(new Date());
System.out.println(list);
}
}2
3
4
5
6
7
8
9
10
11
12
13
14
15
16
17
- 示例:读取元素的时候,针对特定类型,需要手动强制类型转换
package com.github.collection2;
import java.util.ArrayList;
import java.util.Date;
import java.util.List;
public class GenericsTest {
public static void main(String[] args) {
List list = new ArrayList();
list.add(1);
list.add("hello");
list.add(new Date());
System.out.println(list);
final int num = (int) list.get(0);
System.out.println(num);
final String str = (String) list.get(1);
System.out.println(str);
final Date date = (Date) list.get(2);
System.out.println(date);
}
}2
3
4
5
6
7
8
9
10
11
12
13
14
15
16
17
18
19
20
21
22
23
24
25
- 示例:泛型的好处
package com.github.collection2;
import java.util.ArrayList;
import java.util.List;
/**
* Java 在 JDK5 推出了泛型之后,可以在添加数据的时候将类型统一。
* 而且在获取数据的时候,也不需要进行强转,非常方便。
*/
public class GenericsTest {
public static void main(String[] args) {
List<String> list = new ArrayList<>();
// 添加数据的时候将类型统一。
list.add("1");
list.add("hello");
list.add("abc");
// 在获取数据的时候,也不需要进行强转,非常方便。
for (String str : list) {
System.out.println(str);
}
}
}2
3
4
5
6
7
8
9
10
11
12
13
14
15
16
17
18
19
20
21
22
23
24
25
1.2.2 Java 泛型的本质
- Java 泛型的本质是
类型擦除(Type Erasure)。换言之,Java 泛型是一个编译时语法糖,在编译之后泛型信息会被“擦除”,即:生成的 class (字节码)文件是没有泛型类型信息的。
提醒
- ① Java 中的泛型没有运行时信息,主要出于
向后兼容的考虑。 - ② Java 泛型是在 JDK5 引入的,如果保留类型信息会导致老的 JVM 无法识别,破坏兼容性。
- 假设代码是这样的,如下所示:
package com.github.collection2;
import java.util.ArrayList;
import java.util.List;
public class GenericsTest {
public static void main(String[] args) {
List<String> list = new ArrayList<>();
// 添加数据的时候将类型统一。
list.add("1");
list.add("hello");
list.add("abc");
// 在获取数据的时候,也不需要进行强转,非常方便。
for (String str : list) {
System.out.println(str);
}
}
}2
3
4
5
6
7
8
9
10
11
12
13
14
15
16
17
18
19
20
- 我们使用反编译工具对其进行反编译,就会发现底层还是会被当做 Object 来存储,如下所示:

- 就像这样,如下所示:
- 当我们获取数据的时候,底层会帮我们进行强转,如下所示:

- 就像这样,如下所示:
1.2.3 总结
- ① Java 中的泛型只能是引用数据类型。
提醒
如果是基本数据类型,在进行类型擦除之后,是没有办法直接转换 Object 类型!!!
- ② 指定泛型的具体类型后,在传递数据时,可以传入该类类型或其子类类型。
List<Animal> list = new ArrayList<>();
list.add(new Animal());
list.add(new Dog());
list.add(new Cat());2
3
4
5
- ③ 如果不写泛型,类型默认是 Object。
List list = new ArrayList();
list.add(1);
list.add("hello");
list.add(new Date());2
3
4
5
1.3 泛型的定义格式
1.3.1 概述
- 泛型可以在很多地方定义,如:
类后面(泛型类)、方法上面(泛型方法)以及接口后面(泛型接口),如下所示:
1.3.2 泛型类
- 如果一个类中,某些字段、方法或操作的数据类型在定义时不确定,且希望保持类型安全并支持多种类型时,就可以定义带有泛型的类,即:泛型类。
提醒
- ① 操作的数据类型,包括以下几个方面:
- 类的字段,即:成员变量。
- 方法的参数和返回值。
- 方法体内部的局部变量(如果其类型依赖
泛型类的类型)。 - 数据结构中的元素,如:
List<T>中的T。
- ② 只有当类中多个字段或多个方法都需要共享同一种泛型类型时,才考虑使用泛型类!!!
- 语法:
权限访问修饰符 class 类名<类型> {
...
}2
3
提醒
- ① ArrayList 底层使用了泛型类,如下所示:
public class ArrayList<E>
extends AbstractList<E>
implements List<E>, RandomAccess, Cloneable, java.io.Serializable {
...
}2
3
4
5
6
- ② 上面的 E 可以理解为变量(类型变量),但是不是用来记录数据的,而是用来记录数据的类型,可以写成:T、E、K、V 等。
- 示例:
package com.github.collection3;
import java.util.StringJoiner;
public class MyArrayList<E> {
private final int capacity = 100;
private final Object[] elementData = new Object[capacity];
private final StringJoiner joiner = new StringJoiner(", ", "[", "]");
private int size;
public boolean add(E e) {
elementData[size] = e;
size++;
return true;
}
public E get(int index) {
return (E) elementData[index];
}
public int size() {
return size;
}
@Override
public String toString() {
for (int i = 0; i < size; i++) {
joiner.add(String.valueOf(elementData[i]));
}
return joiner.toString();
}
}2
3
4
5
6
7
8
9
10
11
12
13
14
15
16
17
18
19
20
21
22
23
24
25
26
27
28
29
30
31
32
package com.github.collection3;
public class Test {
public static void main(String[] args) {
MyArrayList<String> list = new MyArrayList<>();
list.add("hello");
list.add("world");
list.add("java");
for (int i = 0; i < list.size(); i++) {
final String str = list.get(i);
System.out.println(str);
}
System.out.println(list);
}
}2
3
4
5
6
7
8
9
10
11
12
13
14
15
16
17
18
hello
world
java
[hello, world, java]2
3
4
1.3.3 泛型方法
当方法的参数或返回值类型不确定时,且这个类型只在方法内部使用,不依赖于类的其他成员时,就可以定义带有泛型的方法。
语法:
访问修饰符 <T> 返回值类型 方法名(T t);提醒
泛型类和泛型方法的应用场景有所不同:
- ①
泛型方法:当方法的参数或返回值的类型不确定时,使用泛型方法。只需要在方法级别参数化类型,而不需要影响整个类。 - ②
泛型类:当一个类的多个字段或方法都需要支持相同类型的不同数据时,才需要定义泛型类。类级别的类型参数化通常是为了类中多个成员能够共享相同的泛型类型。
- 示例:
package com.github.collection2;
public class Utils {
private Utils(){}
/**
* 打印数组中的元素
*
* @param arr 数组
* @param <T> 泛型
*/
public static <T> void printArray(T[] arr) {
for (T t : arr) {
System.out.println(t);
}
}
/**
* 交换数组中指定位置上的元素
*
* @param arr 数组
* @param i 索引
* @param j 索引
* @param <T> 泛型
*/
public static <T> void swap(T[] arr, int i, int j) {
T temp = arr[i];
arr[i] = arr[j];
arr[j] = temp;
}
}2
3
4
5
6
7
8
9
10
11
12
13
14
15
16
17
18
19
20
21
22
23
24
25
26
27
28
29
30
31
32
package com.github.collection2;
public class Test {
public static void main(String[] args) {
Integer[] arr = {1, 2, 3, 4, 5};
Utils.printArray(arr);
System.out.println("---------");
Utils.swap(arr, 0, arr.length - 1);
Utils.printArray(arr);
}
}2
3
4
5
6
7
8
9
10
11
12
13
14
15
1
2
3
4
5
---------
5
2
3
4
12
3
4
5
6
7
8
9
10
11
1.3.4 泛型接口
当一个接口中,类型不确定的时候,就可以使用泛型接口。
语法:
权限访问修饰符 interface 类名<类型> {
...
}2
3
提醒
Java 中的 List 接口就是一个泛型接口:
public interface List<E> extends Collection<E> {
...
}2
3
- 如何使用一个带泛型的接口,有如下两种方式:
- ① 实现类给出具体的类型,创建对象的时候不需要确定具体的类型。
- ② 实现类延续泛型,创建对象的时候需要确定具体的类型。
提醒
应用场景:希望创建一个与类型无关的、可复用的接口,而具体的类型由实现类或使用者在使用时决定。
- 示例:实现类给出具体的泛型
package com.github.collection3;
import java.util.Collection;
import java.util.Iterator;
import java.util.List;
import java.util.ListIterator;
// MyArrayList2 的类型已经确定,就是 String
public class MyArrayList2 implements List<String> {
@Override
public int size() {
return 0;
}
@Override
public boolean isEmpty() {
return false;
}
@Override
public boolean contains(Object o) {
return false;
}
@Override
public Iterator<String> iterator() {
return null;
}
@Override
public Object[] toArray() {
return new Object[0];
}
@Override
public <T> T[] toArray(T[] a) {
return null;
}
@Override
public boolean add(String s) {
return false;
}
@Override
public boolean remove(Object o) {
return false;
}
@Override
public boolean containsAll(Collection<?> c) {
return false;
}
@Override
public boolean addAll(Collection<? extends String> c) {
return false;
}
@Override
public boolean addAll(int index, Collection<? extends String> c) {
return false;
}
@Override
public boolean removeAll(Collection<?> c) {
return false;
}
@Override
public boolean retainAll(Collection<?> c) {
return false;
}
@Override
public void clear() {
}
@Override
public String get(int index) {
return "";
}
@Override
public String set(int index, String element) {
return "";
}
@Override
public void add(int index, String element) {
}
@Override
public String remove(int index) {
return "";
}
@Override
public int indexOf(Object o) {
return 0;
}
@Override
public int lastIndexOf(Object o) {
return 0;
}
@Override
public ListIterator<String> listIterator() {
return null;
}
@Override
public ListIterator<String> listIterator(int index) {
return null;
}
@Override
public List<String> subList(int fromIndex, int toIndex) {
return List.of();
}
}2
3
4
5
6
7
8
9
10
11
12
13
14
15
16
17
18
19
20
21
22
23
24
25
26
27
28
29
30
31
32
33
34
35
36
37
38
39
40
41
42
43
44
45
46
47
48
49
50
51
52
53
54
55
56
57
58
59
60
61
62
63
64
65
66
67
68
69
70
71
72
73
74
75
76
77
78
79
80
81
82
83
84
85
86
87
88
89
90
91
92
93
94
95
96
97
98
99
100
101
102
103
104
105
106
107
108
109
110
111
112
113
114
115
116
117
118
119
120
121
122
123
124
125
package com.github.collection3;
public class Test {
public static void main(String[] args) {
// 创建对象的时候不需要确定具体的类型
MyArrayList2 list = new MyArrayList2();
// ✅ MyArrayList2 中只能存储 String 类型的元素
list.add("hello");
// ❌ MyArrayList2 中只能存储 String 类型的元素
list.add(1);
}
}2
3
4
5
6
7
8
9
10
11
12
13
14
15
16
- 示例:实现类延续泛型
package com.github.collection3;
import java.util.Collection;
import java.util.Iterator;
import java.util.List;
import java.util.ListIterator;
// MyArrayList2 的类型还不确定,在创建对象的时候给出具体类型
public class MyArrayList2<E> implements List<E> {
@Override
public int size() {
return 0;
}
@Override
public boolean isEmpty() {
return false;
}
@Override
public boolean contains(Object o) {
return false;
}
@Override
public Iterator<E> iterator() {
return null;
}
@Override
public Object[] toArray() {
return new Object[0];
}
@Override
public <T> T[] toArray(T[] a) {
return null;
}
@Override
public boolean add(E e) {
return false;
}
@Override
public boolean remove(Object o) {
return false;
}
@Override
public boolean containsAll(Collection<?> c) {
return false;
}
@Override
public boolean addAll(Collection<? extends E> c) {
return false;
}
@Override
public boolean addAll(int index, Collection<? extends E> c) {
return false;
}
@Override
public boolean removeAll(Collection<?> c) {
return false;
}
@Override
public boolean retainAll(Collection<?> c) {
return false;
}
@Override
public void clear() {
}
@Override
public E get(int index) {
return null;
}
@Override
public E set(int index, E element) {
return null;
}
@Override
public void add(int index, E element) {
}
@Override
public E remove(int index) {
return null;
}
@Override
public int indexOf(Object o) {
return 0;
}
@Override
public int lastIndexOf(Object o) {
return 0;
}
@Override
public ListIterator<E> listIterator() {
return null;
}
@Override
public ListIterator<E> listIterator(int index) {
return null;
}
@Override
public List<E> subList(int fromIndex, int toIndex) {
return List.of();
}
}2
3
4
5
6
7
8
9
10
11
12
13
14
15
16
17
18
19
20
21
22
23
24
25
26
27
28
29
30
31
32
33
34
35
36
37
38
39
40
41
42
43
44
45
46
47
48
49
50
51
52
53
54
55
56
57
58
59
60
61
62
63
64
65
66
67
68
69
70
71
72
73
74
75
76
77
78
79
80
81
82
83
84
85
86
87
88
89
90
91
92
93
94
95
96
97
98
99
100
101
102
103
104
105
106
107
108
109
110
111
112
113
114
115
116
117
118
119
120
121
122
123
124
125
package com.github.collection3;
public class Test {
public static void main(String[] args) {
// 创建对象的时候不需要确定具体的类型
MyArrayList2<String> list = new MyArrayList2<>();
// ✅ 创建 list 对象的时候,已经确定了 MyArrayList2 只能存储 String 元素
list.add("hello");
// ❌ 创建 list 对象的时候,已经确定了 MyArrayList2 只能存储 String 元素
list.add(1);
}
}2
3
4
5
6
7
8
9
10
11
12
13
14
15
16
1.4 协变、逆变和不变
1.4.1 概述
协变(Covariance) 和逆变(Contravariance) 是描述类型继承关系在复杂类型(泛型、数组、函数参数等)中如何传递的概念。- 它们的核心在于:
子类型关系在复杂类型中的表现是否与原始类型一致。
1.4.2 协变
- 如果 A 是 B 的子类,如果 Container(A) 也被认为是 Container(B) 的子类型,这就是协变(协同变化)。
提醒
- ① 如果
苹果(Apple)是水果(Fruit),那么一筐苹果(Box<Apple>)可以当做一筐水果(Box<Fruit>),这就叫做协变(协同变化)。 - ② 协变
强调方向一致,即:在协变中,类型参数允许一种从子类型到父类型的替换关系,如:A -->B ,那么 Container(A) --> Container(B) 。这种由子类型到父类型的传递关系体现了“协变”的数学意思,即:类型参数的继承关系在容器级别也保持不变。 - ③ 协变
强调一致性和可替换性:协变强调子类型在能够替换为父类型的上下文中的一致性。在编程中,这允许我们处理更具体的对象(子类型)而无需修改处理这些对象的代码逻辑。这种一致性是“协变”名称的核心。 - ④ 斜变读取安全,但是写入不安全!!!
- Java 中的
数组就是典型的协变设计,如下所示:
提醒
String是Object的子类型,那么String[]也是Object[]的子类型。
package com.github.collection3;
import java.util.Arrays;
public class Test {
public static void main(String[] args) {
String[] strArr = {"hello", "world", "java"};
// 协变
Object[] objArr = strArr;
System.out.println(Arrays.toString(objArr)); // [hello, world, java]
}
}2
3
4
5
6
7
8
9
10
11
12
13
14
15
16
- 在学习多态的时候,我们就知道,多态的优点是:父类可以用来处理(操作、指向)子类对象。
package com.github.collection3;
public class Animal {
String name = "动物";
public void show() {
System.out.println("Animal --- show");
}
}2
3
4
5
6
7
8
9
package com.github.collection3;
public class Cat extends Animal {
String name = "猫";
@Override
public void show() {
System.out.println("Cat --- show");
}
public void catchMouse() {
System.out.println("猫抓老鼠");
}
}2
3
4
5
6
7
8
9
10
11
12
13
14
15
16
package com.github.collection3;
public class Dog extends Animal {
String name = "狗";
@Override
public void show() {
System.out.println("Dog --- show");
}
public void lookHome() {
System.out.println("狗看家");
}
}2
3
4
5
6
7
8
9
10
11
12
13
14
15
package com.github.collection3;
public class Test {
public static void main(String[] args) {
show(new Dog());
show(new Cat());
}
// 相当于 Animal animal = new Dog()
// 相当于 Animal animal = new Cat()
public static void show(Animal animal) {
animal.show();
}
}2
3
4
5
6
7
8
9
10
11
12
13
14
15
16
17
Dog --- show
Cat --- show2
- Java 将这种设计理念也扩展到了数组中,使得开发者可以通过较为通用的父类型数组(
Object[])来操作子类数组(String[])
package com.github.collection3;
public class Animal {
String name = "动物";
public void show() {
System.out.println("Animal --- show");
}
}2
3
4
5
6
7
8
9
package com.github.collection3;
public class Cat extends Animal {
String name = "猫";
@Override
public void show() {
System.out.println("Cat --- show");
}
public void catchMouse() {
System.out.println("猫抓老鼠");
}
}2
3
4
5
6
7
8
9
10
11
12
13
14
15
16
package com.github.collection3;
public class Dog extends Animal {
String name = "狗";
@Override
public void show() {
System.out.println("Dog --- show");
}
public void lookHome() {
System.out.println("狗看家");
}
}2
3
4
5
6
7
8
9
10
11
12
13
14
15
package com.github.collection3;
public class Test {
public static void main(String[] args) {
Dog[] dogs = new Dog[]{new Dog(), new Dog(), new Dog()};
Cat[] cat2 = new Cat[]{new Cat(), new Cat()};
show(dogs);
show(cat2);
}
// 相当于 Animal[] animals = new Dog[]{new Dog(), new Dog(), new Dog()};
// 相当于 Animal[] animals = new Cat[]{new Cat(), new Cat()};
public static void show(Animal[] animals) {
for (int i = 0; i < animals.length; i++) {
Animal animal = animals[i];
animal.show();
}
}
}2
3
4
5
6
7
8
9
10
11
12
13
14
15
16
17
18
19
20
21
Dog --- show
Dog --- show
Dog --- show
Cat --- show
Cat --- show2
3
4
5
- 在学习多态的时候,我们就知道,多态的弊端是:父类不能调用子类的独有功能的,除非进行强制类型转换。
package com.github.collection3;
public class Animal {
String name = "动物";
public void show() {
System.out.println("Animal --- show");
}
}2
3
4
5
6
7
8
9
package com.github.collection3;
public class Cat extends Animal {
String name = "猫";
@Override
public void show() {
System.out.println("Cat --- show");
}
public void catchMouse() {
System.out.println("猫抓老鼠");
}
}2
3
4
5
6
7
8
9
10
11
12
13
14
15
16
package com.github.collection3;
public class Dog extends Animal {
String name = "狗";
@Override
public void show() {
System.out.println("Dog --- show");
}
public void lookHome() {
System.out.println("狗看家");
}
}2
3
4
5
6
7
8
9
10
11
12
13
14
15
package com.github.collection3;
public class Test {
public static void main(String[] args) {
show(new Dog());
show(new Cat());
}
// 相当于 Animal animal = new Dog()
// 相当于 Animal animal = new Cat()
public static void show(Animal animal) {
animal.show();
if (animal instanceof Dog dog) {
dog.lookHome();
} else if (animal instanceof Cat cat) {
cat.catchMouse();
}
}
}2
3
4
5
6
7
8
9
10
11
12
13
14
15
16
17
18
19
20
21
22
Dog --- show
狗看家
Cat --- show
猫抓老鼠2
3
4
- Java 将这种设计理念也扩展到了数组中,那么我们在调用子类独有功能的时候,也需要继续强制类型转换:
package com.github.collection3;
public class Animal {
String name = "动物";
public void show() {
System.out.println("Animal --- show");
}
}2
3
4
5
6
7
8
9
package com.github.collection3;
public class Cat extends Animal {
String name = "猫";
@Override
public void show() {
System.out.println("Cat --- show");
}
public void catchMouse() {
System.out.println("猫抓老鼠");
}
}2
3
4
5
6
7
8
9
10
11
12
13
14
15
16
package com.github.collection3;
public class Dog extends Animal {
String name = "狗";
@Override
public void show() {
System.out.println("Dog --- show");
}
public void lookHome() {
System.out.println("狗看家");
}
}2
3
4
5
6
7
8
9
10
11
12
13
14
15
package com.github.collection3;
public class Test {
public static void main(String[] args) {
Dog[] dogs = new Dog[]{new Dog(), new Dog(), new Dog()};
Cat[] cat2 = new Cat[]{new Cat(), new Cat()};
show(dogs);
show(cat2);
}
// 相当于 Animal[] animals = new Dog[]{new Dog(), new Dog(), new Dog()};
// 相当于 Animal[] animals = new Cat[]{new Cat(), new Cat()};
public static void show(Animal[] animals) {
for (int i = 0; i < animals.length; i++) {
Animal animal = animals[i];
animal.show();
if (animal instanceof Dog dog) {
dog.lookHome();
} else if (animal instanceof Cat cat) {
cat.catchMouse();
}
}
}
}2
3
4
5
6
7
8
9
10
11
12
13
14
15
16
17
18
19
20
21
22
23
24
25
26
Dog --- show
狗看家
Dog --- show
狗看家
Dog --- show
狗看家
Cat --- show
猫抓老鼠
Cat --- show
猫抓老鼠2
3
4
5
6
7
8
9
10
- 但是,Java 的这种设计,将多态的扩展到了数组层次,虽然提高了数组的灵活性;但是,也带来了
运行时安全问题。
提醒
- 所谓的灵活性:程序员可以利用协变,在数组中存储多个不同类型的对象,只要它们都是对象的子类。
- 所谓的运行时安全问题:程序允许通过一个 Animal[] 引用指向 Dog[] 对象,但是在 Animal[] 中插入了 Cat 对象。
package com.github.collection3;
public class Test {
public static void main(String[] args) {
Animal[] animals = new Dog[3];
animals[0] = new Dog();
animals[1] = new Dog();
animals[2] = new Dog();
show(animals);
}
public static void show(Animal[] animals) {
// ❌ 会抛出 java.lang.ArrayStoreException
animals[0] = new Cat();
for (int i = 0; i < animals.length; i++) {
Animal animal = animals[i];
animal.show();
}
}
}2
3
4
5
6
7
8
9
10
11
12
13
14
15
16
17
18
19
20
21
22
提醒
对于协变数组而言,读是安全的,但是写是不安全的。
- 我们可以将一个
Dog[]当做Animal[]来使用,即:Dog[] 中的每个元素都可以是 Animal ,如下所示:
package com.github.collection3;
public class Test {
public static void main(String[] args) {
Animal[] animals = new Dog[]{
new Dog(), new Dog(), new Dog(), new Dog(), new Dog()
};
// 没什么问题,animals[0] 实际上就是 new Dog()
// Animal animal = new Dog();
Animal animal = animals[0];
animal.show(); // Dog --- show
}
}2
3
4
5
6
7
8
9
10
11
12
13
14
15
16
17
- 但是,写入是不安全的,因为
Animal[]应该允许写入任何Animal子类(Cat、Dog 等),但是实际上Animal[]存储类型是Dog[],是不可以写入Cat的,所以 Java 会报 ArrayStoreException 异常。
提醒
类比场景:
- 本来有一个狗窝,装的都是狗(
new Dog[]{...}),每只狗 100 元。 - 你告诉我:这个窝里都是动物(
Animal[] animals = dogs),每只 100 元。 - 但是,你背着我偷偷在狗窝里塞猫(
animals[0] = new Cat()),猫每只 50 元。 - 然后,将整窝动物卖我(每只 100 元),你觉得我傻(里面又不都是狗)?
package com.github.collection3;
public class Test {
public static void main(String[] args) {
Animal[] animals = new Dog[]{
new Dog(), new Dog(), new Dog(), new Dog(), new Dog()
};
// 没什么问题,animals[0] 实际上就是 new Dog()
// Animal animal = new Dog();
Animal animal = animals[0];
animal.show(); // Dog --- show
// 写操作
// 编译不会报错,但是运行会报错 ArrayStoreException
animals[0] = new Cat();
// 即使上面的代码不报错,将会出现 Cat --- show,这就造成了类型错误
animals[0].show();
}
}2
3
4
5
6
7
8
9
10
11
12
13
14
15
16
17
18
19
20
21
22
23
24
1.4.3 逆变
- 如果 A 是 B 的子类,如果 Container(B) 是 Container(A) 的子类型,这就是逆变。
提醒
- ① 如果你会处理水果,那么你应该也会处理苹果,这就叫做逆变。
- ② 逆变
强调反向替换关系:逆变允许从父类型到子类型的替换关系。这对于函数参数尤其重要,因为一个能够接受父类类型的操作自然能接受其所有子类。 - ③ 逆变写入安全,但是读取不安全!!!
- Java 中的
方法重写就是典型的逆变:
提醒
- ① 只有被添加到虚方法表中的方法才能被重写!!!
- ② 子类重写父类方法时,返回值类型必须小于等于父类。
public class Animal {
public Animal getAnimal() {
System.out.println("Animal 的 getAnimal 方法");
return new Animal();
}
}2
3
4
5
6
7
public class Dog extends Animal {
// ✅ 以下代码是正确的
@Override
public Dog getAnimal() {
System.out.println("Dog 的 getAnimal 方法");
return new Dog();
}
}2
3
4
5
6
7
8
public class Test {
public static void main(String[] args) {
Animal animal = new Animal();
// 父类引用指向子类对象
Animal animal2 = new Dog();
// 类似于 Animal a1 = new Animal();
Animal a1 = animal.getAnimal();
// 类似于 Animal a2 = new Dog();
Animal a2 = animal2.getAnimal();
System.out.println(a1 instanceof Animal); // true
System.out.println(a2 instanceof Dog); // true
}
}2
3
4
5
6
7
8
9
10
11
12
13
14
15
1.4.4 不变
- 如果 A 是 B 的子类,如果 Container(A) 不是 Container(B) 的子类型或 Container(B) 不是 Container(A) 的子类型,这就是不变。
提醒
- ① 不变的类型必须完全匹配,不能替代。
- ② 不变适合类型完全一致的读写操作,即:读写都安全。
- Java 中的
泛型就是典型的不变:
package com.github.collection3;
import java.util.ArrayList;
import java.util.List;
public class Test {
public static void main(String[] args) {
List<String> list = new ArrayList<>();
// 写的时候是 String
list.add("hello");
list.add("world");
// 读的时候是 String
for (String str : list) {
System.out.println(str);
}
}
}2
3
4
5
6
7
8
9
10
11
12
13
14
15
16
17
18
19
20
- Java 中的泛型都是协变,如下所示:
package com.github.collection3;
import java.util.ArrayList;
import java.util.List;
public class Test {
public static void main(String[] args) {
List<String> list = new ArrayList<>();
// 写的时候是 String
list.add("hello");
list.add("world");
// 读的时候是 String
for (String str : list) {
System.out.println(str);
}
// 错误 ❌
List<Object> list2 = list;
}
}2
3
4
5
6
7
8
9
10
11
12
13
14
15
16
17
18
19
20
21
22
23
1.4.5 总结
协变数组是早期 Java 为了保证灵活性和向后兼容性的设计选择,但由于安全性问题在现代开发中不推荐。Java 泛型的不变性则是为了提供更好的编译时安全性和简化代码复杂性,避免潜在的运行时错误。这种设计反映了对现代软件开发中安全性和可靠性的高度重视。
1.5 泛型的高级特性
1.5.1 概述
- 在 Java 中泛型在运行时是被
类型擦除的,但是通过Type相关接口可以``部分恢复泛型信息`,特别是在字段、方法、父类等位置。

- Java 通过了四种核心接口来描述泛型结构:
| 接口名 | 示例 | 描述 |
|---|---|---|
GenericArrayType | T[] | 泛型数组 |
ParameterizedType | List<String> | 参数化类型(带泛型参数) |
TypeVariable | <T> | 类型变量(声明在类或方法上的 T ) |
WildcardType | ? extends Number | 通配符类型 |
1.5.2 类型变量
1.5.2.1 概述
- 类型变量(
<T>中的T)通常出现在类、方法、接口处,我们也称这些类、接口或方法是泛型类、泛型方法或泛型接口。
提醒
- ① T 是类型变量,由调用者决定它是什么类型。并且,编译器会推断出具体的类型。
- ② 类型变量适用于自定义泛型类、泛型接口以及泛型方法,控制输入输出的一致性。
- 示例:泛型类
public class MyArrayList<E> {
...
}2
3
- 示例:泛型方法
public class Utils {
private Utils(){}
/**
* 打印数组中的元素
*
* @param arr 数组
* @param <T> 泛型
*/
public static <T> void printArray(T[] arr) {
for (T t : arr) {
System.out.println(t);
}
}
}2
3
4
5
6
7
8
9
10
11
12
13
14
15
16
- 示例:泛型接口
public interface List<E> extends Collection<E> {
...
}2
3
1.5.2.2 类型上限
- 在 Java 中,类型变量可以有上限,但是不能有下限。
- 类型变量可以通过
extends指定上限:
// T 只能是 Number 的子类,例如 Integer, Double 等
class Box<T extends Number> {
}2
3
4
- 类型变量可以通过
extends并结合&指定多个上限(多重上限):
// T 必须是 Number 的子类,并且实现了 Comparable 接口
class Box<T extends Number & Comparable<T>> {
}2
3
4
注意
- ① 在多重上限中,类(
Number)必须放在最前面,后面的都是接口!!! - ② 如果在声明
<类型变量>时没有指定任何上限,则默认上限是 java.lang.Object 。
- 示例:
package com.github.collection3;
import java.math.BigDecimal;
import java.math.BigInteger;
public class SumTools<T extends Number & Comparable<T>> {
private final T t1;
private final T t2;
public SumTools(T t1, T t2) {
this.t1 = t1;
this.t2 = t2;
}
public T getSum() {
if (this.t1 instanceof Integer i1 && this.t2 instanceof Integer i2) {
return (T) Integer.valueOf(i1 + i2);
}
if (this.t1 instanceof Double d1 && this.t2 instanceof Double d2) {
return (T) Double.valueOf(d1 + d2);
}
if (this.t1 instanceof Float f1 && this.t2 instanceof Float f2) {
return (T) Float.valueOf(f1 + f2);
}
if (this.t1 instanceof Long l1 && this.t2 instanceof Long l2) {
return (T) Long.valueOf(l1 + l2);
}
if (this.t1 instanceof Short s1 && this.t2 instanceof Short s2) {
return (T) Short.valueOf((short) (s1 + s2));
}
if (this.t1 instanceof Byte b1 && this.t2 instanceof Byte b2) {
return (T) Byte.valueOf((byte) (b1 + b2));
}
if (this.t1 instanceof BigInteger b1 && this.t2 instanceof BigInteger b2) {
return (T) b1.add(b2);
}
if (this.t1 instanceof BigDecimal b1 && this.t2 instanceof BigDecimal b2) {
return (T) b1.add(b2);
}
throw new UnsupportedOperationException("不支持该操作");
}
}2
3
4
5
6
7
8
9
10
11
12
13
14
15
16
17
18
19
20
21
22
23
24
25
26
27
28
29
30
31
32
33
34
35
36
37
38
39
40
41
42
43
44
45
46
package com.github.collection3;
public class Test {
public static void main(String[] args) {
SumTools<Integer> sumTools = new SumTools<>(1, 2);
Integer sum = sumTools.getSum();
System.out.println("sum = " + sum); // sum = 3
}
}2
3
4
5
6
7
8
9
10
1.5.3 类型通配符
1.5.3.1 概述
- 如果一个
方法的类型参数需要进行限制,就需要使用到类型通配符。
提醒
类型通配符不仅仅可以应用于泛型方法,也可以应用于泛型类、泛型接口的方法类型声明中,以实现类型的灵活性和兼容性。
1.5.3.2 无界通配符
- 语法:
类名<?> 或 接口名<?>提醒
- ①
用途:允许使用任何类型而不关心具体类型。 - ②
应用场景:只需要读取数据,不会向集合中添加任何元素。
- 示例:
package com.github.collection3;
import java.util.List;
public class Test {
public static void main(String[] args) {
List<String> list = List.of("a", "b", "c");
List<Integer> list2 = List.of(1, 2, 3);
// ✅ 允许使用任何类型而不关心具体类型。
// 类似于 List<?> list = new ArrayList<String>();
method(list);
// ✅ 允许使用任何类型而不关心具体类型。
// 类似于 List<?> list = new ArrayList<String>();
method(list2);
}
public static void method(List<?> list) {
// 只需要读取数据,不会向集合中添加任何元素。
for (Object o : list) {
System.out.println(o);
}
}
}2
3
4
5
6
7
8
9
10
11
12
13
14
15
16
17
18
19
20
21
22
23
24
25
26
27
28
29
1.5.3.3 上限通配符
- 语法:
类名<? extends 上限类型>接口名<? extends 上限类型>提醒
- ①
用途:限制可以使用的类型必须是某个类型的子类(协变)。 - ②
应用场景:读取数据时,我们只关心数据的父类特性,而不需要知道确切的子类。
- 准备工作(类继承关系):
package com.github.collection3;
public class Animal {
String name = "动物";
public void show() {
System.out.println("Animal --- show");
}
}2
3
4
5
6
7
8
9
package com.github.collection3;
public class Cat extends Animal {
String name = "猫";
@Override
public void show() {
System.out.println("Cat --- show");
}
public void catchMouse() {
System.out.println("猫抓老鼠");
}
}2
3
4
5
6
7
8
9
10
11
12
13
14
15
16
package com.github.collection3;
public class Dog extends Animal {
String name = "狗";
@Override
public void show() {
System.out.println("Dog --- show");
}
public void lookHome() {
System.out.println("狗看家");
}
}2
3
4
5
6
7
8
9
10
11
12
13
14
15
class HuskyDog extends Dog {}class TabbyCat extends Cat {}- 示例:
package com.github.collection3;
import java.util.List;
public class Test {
public static void main(String[] args) {
List<Dog> dogList = List.of(new Dog(), new Dog());
// ✅ 限定只能是 Dog 或 Dog 的子类,不能是其它类型
// 类似于 List<? extends Dog> list = new ArrayList<Dog>();
method(dogList);
List<HuskyDog> dogList2 = List.of(new HuskyDog(), new HuskyDog());
// ✅ 限定只能是 Dog 或 Dog 的子类,不能是其它类型
// 类似于 List<? extends Dog> list = new ArrayList<HuskyDog>();
method(dogList);
List<Cat> catList = List.of(new Cat(), new Cat());
// ❌ 限定只能是 Dog 或 Dog 的子类,不能是其它类型
// 类似于 List<? extends Dog> list = new ArrayList<Cat>();
method(catList);
}
/**
* 只能是狗类型
* 协变,适合读取数据
*/
public static void method(List<? extends Dog> list) {
for (Dog dog : list) {
dog.show();
}
}
}2
3
4
5
6
7
8
9
10
11
12
13
14
15
16
17
18
19
20
21
22
23
24
25
26
27
28
29
30
31
32
33
34
1.5.3.4 下限通配符
- 语法:
类名<? super 下限类型>接口名<? super 下限类型>提醒
- ①
用途:限制可以使用的类型必须是某个类型的父类(逆变)。 - ②
应用场景:向集合中添加数据时,我们需要保证所写入的数据类型与集合中的类型一致或为其子类。
- 准备工作(类继承关系):
package com.github.collection3;
public class Animal {
String name = "动物";
public void show() {
System.out.println("Animal --- show");
}
}2
3
4
5
6
7
8
9
package com.github.collection3;
public class Cat extends Animal {
String name = "猫";
@Override
public void show() {
System.out.println("Cat --- show");
}
public void catchMouse() {
System.out.println("猫抓老鼠");
}
}2
3
4
5
6
7
8
9
10
11
12
13
14
15
16
package com.github.collection3;
public class Dog extends Animal {
String name = "狗";
@Override
public void show() {
System.out.println("Dog --- show");
}
public void lookHome() {
System.out.println("狗看家");
}
}2
3
4
5
6
7
8
9
10
11
12
13
14
15
class HuskyDog extends Dog {}class TabbyCat extends Cat {}- 示例:
package com.github.collection3;
import java.util.ArrayList;
import java.util.List;
public class Test {
public static void main(String[] args) {
// ✅ 限定只能是 Dog 或 Dog 的父类,不能是其它类型
// 类似于 List<? super Dog> list = new ArrayList<Dog>();
List<Dog> list = new ArrayList<>();
method(list);
System.out.println(list);
// ✅ 限定只能是 Dog 或 Dog 的父类,不能是其它类型
// 类似于 List<? super Dog> list = new ArrayList<Object>();
List<Object> list2 = new ArrayList<>();
method(list2);
System.out.println(list2);
// ❌ 限定只能是 Dog 或 Dog 的父类,不能是其它类型
// 类似于 List<? super Dog> list = new ArrayList<Cat>();
List<Cat> list3 = new ArrayList<>();
method(list3);
System.out.println(list3);
}
/**
* 只能是狗类型
* 逆变,适合写数据
*/
public static void method(List<? super Dog> list) {
list.add(new Dog());
list.add(new HuskyDog());
}
}2
3
4
5
6
7
8
9
10
11
12
13
14
15
16
17
18
19
20
21
22
23
24
25
26
27
28
29
30
31
32
33
34
35
36
第二章:数据结构(树)
2.1 概述
- 之前,我们就学过 Collection 集合的继承体系,如下所示:
- 由于 Collection、List 和 Set 等都是接口(接口是不能实例化的),为了使用集合对象,我们都是通过多态进行实例化子类,如下所示:
List<String> list = new ArrayList<>();List<String> list = new LinkedList<>();Set<String> set = new HashSet<>();Set<String> set = new TreeSet<>();Set<String> set = new LinkedHashSet<>();- 其实,JDK 的开发人员在给上述的实现类命名的时候,都遵循了
见名知意的规则,如下所示:
数组和链表,我们已经非常熟悉了,下面将重点介绍树,以便更好地学习 Set 系列集合。
2.2 树的概念
- 树(Tree)和链表(Linked)差不多,都只是一种数据结构,如下所示:
提醒
- ① 树中的每一个元素,都叫做节点(Node)。
- ② 每个节点都是一个独立的对象。
2.3 树的专业术语
节点(Node):树的基本元素,每个节点都包含数据和指向其子节点的链接。
节点(Node)根节点(Root Node):树的起始节点,所有其它节点都是根节点的子节点。
根节点(Root Node)父节点(Parent Node):节点的上一级节点,每个节点只有一个父节点,根节点没有父节点。
提醒
对于 16 和 20 来说,18 是父节点。
父节点(Parent Node)子节点(Child Node):某个节点的直接后代节点,一个节点可以有多个子节点。
提醒
对于 18 来说,16 是 18 的左子节点,而 20 是 18 的右子节点。
子节点(Child Node)节点的内部结构,即:节点和节点是如何形成这种树形关系的?
class Node<T> {
Node<T> parent; // 父节点地址
T value; // 值
Node<T> left; // 左子节点地址
Node<T> right; // 右子节点地址
}2
3
4
5
6
叶子节点(Leaf Node):没有子节点的节点,通常是树的最底层节点。
叶子节点(Leaf Node)兄弟节点(Sibling Node):同一个父节点的其它子节点,属于平级节点。
提醒
对于 28 来说,27 和 29 是兄弟节点。
兄弟节点(Sibling Node)子树(sub tree):以某个节点为“根节点”(子树的根),由该节点及其所有后代节点构成的局部树结构。
提醒
对于 18 来说,其左子树是:16、15、17,而右子树是 20、19、21。
子树(sub tree)度(degree):一个节点的子节点数目。度用于描述节点的分支数量。
提醒
- ① “度”是一个简单而直观的术语,表示一个节点的“连接程度”,反映了它在数据结构中与其他节点的关系和影响力。
- ② 通过度数,可以快速了解一个节点的分支数量、与其他节点的关系密切程度等信息。
度(degree)树高(Height of Tree):树的总层数。
树高(Height of Tree)2.4 二叉树
2.4.1 普通二叉树(Binary Tree)
- 普通二叉树对于数据的存储没有任何要求,如下所示:
提醒
特点:普通二叉树中每个节点记录的数据,是没有任何规律可言的!!!
提醒
- ① 不具备高效查找、插入、删除等操作的优化:由于没有排序约束,普通二叉树不能像二叉搜索树那样高效地进行查找、插入和删除操作。
- ② 无法保证操作时间复杂度:因为没有排序规则,操作效率不高,在最坏情况下,查找、插入和删除可能需要遍历整个树,导致时间复杂度为 O(n)。
2.4.2 二叉搜索树(Binary Search Tree, BST)
- 二叉搜索树(二叉排序树、二叉查找树)是一种特殊的二叉树,如下所示:
提醒
特点:
- ① 每个节点上
最多有两个子节点。 - ② 任意节点左子树上的值都
小于当前节点。 - ③ 任意节点右子树上的值都
大于当前节点。 - ④ 每个节点的左子树和右子树也是二叉搜索树。
2.5 二叉搜索树
2.5.1 添加节点
- 二叉搜索树具有排序的特点,在添加节点的时候,为了保证树的性质保持不变,需要遵循一些规则。
提醒
添加节点规则(小的存左边、大的存右边,一样的不存):
- ① 从根节点开始,比较插入节点的值与当前节点的值。
- ② 如果插入节点的值小于当前节点的值,继续在当前节点的
左子树插入; - ③ 如果插入节点的值大于当前节点的值,继续在当前节点的
右子树插入; - ④ 重复上述步骤,直到找到一个空的位置(即没有左子节点或右子节点的位置)为止。

2.5.2 查找节点
- 二叉搜索树的查找操作是基于其性质来进行的,即:对于任意一个节点
node,其左子树中的所有节点值都小于node.val,右子树中的所有节点值都大于node.val。
提醒
给定一个值 target,从根节点开始比较:
- 如果
target == node.val,则找到目标; - 如果
target < node.val,则递归/迭代去左子树查找; - 如果
target > node.val,则递归/迭代去右子树查找; - 如果遍历到空节点,表示树中没有该值。

2.5.3 二叉树的遍历方式
二叉树有 4 种遍历方式:
- ① 前序遍历:
当前节点、左子树、右子树。 - ② 中序遍历:左子树、
当前节点、右子树。 - ③ 后续遍历:左子树、右子树、
当前节点。 - ④ 层序遍历:一层一层的去遍历。
- ① 前序遍历:
所谓的
前序遍历,就是从根节点开始,按照当前节点、左子树、右子树的顺序进行遍历。
提醒
- ① 对于前序遍历,在左子树和右子树也是按照当前节点、左、右的顺序进行遍历。
- ② 对于前序遍历,就是
根节点“在最前面”先访问。

- 所谓的
中序遍历,就是从最左边节点开始,按照左子树、当前节点、右子树的顺序进行遍历。
提醒
- ① 对于中序遍历,在左子树和右子树也是按照左、当前节点、右的顺序进行遍历。
- ② 对于中序遍历,就是
根节点“在中间”中间访问。 - ③
中序遍历是最常见的二叉搜索树遍历方式,因为结果是从小到大升序的。

- 所谓的
后序遍历,就是从最左边节点开始,按照左子树、右子树、当前节点的顺序进行遍历。
提醒
- ① 对于后序遍历,在左子树和右子树也是按照左、右、当前节点的顺序进行遍历。
- ② 对于后序遍历,就是
根节点“最后处理”压轴访问。

- 所谓的
层序遍历,就是从根节点开始,一层一层的遍历。

2.5.4 二叉搜索树的弊端
- 在实际应用中,二叉搜索树的高度过高,会影响到查询的效率,极端情况下,会退化为链表。
- 如果一棵树要提高查询效率,左右的高度需要差不多才行,在添加数据的时候,我们需要将其变为左右差不多的树,即:平衡二叉树(AVL 树)。
2.6 平衡二叉树(AVL 树)
2.6.1 概述
- 平衡二叉树(平衡二叉搜索树)的规则是:
任意节点左右子树高度差不超过 1。
提醒
平衡二叉树,并不要求左右子树完全一样!!!
- 示例:二叉搜索树不是平衡二叉树
- 示例:二叉搜索树不是平衡二叉树
- 示例:二叉搜索树是平衡二叉树
- 示例:二叉搜索树是平衡二叉树
2.6.2 旋转规则
2.6.2.1 概述
- 平衡二叉树是通过
旋转规则来保证任意节点左右子树的高度不超过 1 。
2.6.2.2 旋转机制
- 当我们向一棵树中添加了节点之后,其实是通过
旋转机制来保证树的平衡。
- 旋转机制,分为如下的两种:
- 左旋:向左旋转🔄,即:逆时针。
- 右旋:向后旋转🔁,即:顺时针。


- 但是,并不是每次添加节点都会触发旋转机制的,其触发时机是:
当添加一个节点之后,该树不再是平衡二叉树。
2.6.2.3 左旋(情况一)
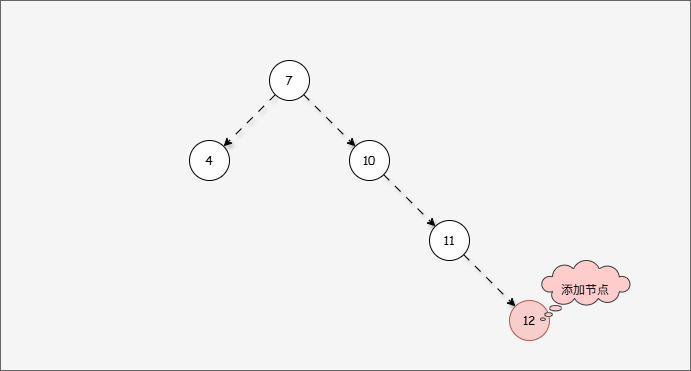
- 假设平衡二叉树,刚开始是这样的,如下所示:
- 现在,我们需要添加一个值为 12 的节点,如下所示:
- 因为 7 的左子树的高度是 1 ,而右子树的高度是 3 ,破坏了平衡,将触发
旋转机制,我们可能理所当然得认为应该左旋,如下所示:
提醒
- ① 答案确实应该向左旋转,但是推导过程是错误的。
- ② 10 的的左子树的高度是 0,右子树的高度是 2,为什么不以 10 为支点旋转,而是以 7 为支点旋转?
- 我们首先需要
确定支点,即:从添加的节点开始,不断地向父节点找不平衡的节点(左右高度差 >1 的节点)。

- 然后将遇到的第一个不平衡点作为支点,去判断是左旋还是右旋。
- 因为以 10 为支点,右子树比左子树多,所以需要进行左旋操作。

提醒
左旋步骤:
- ① 以不平衡点作为支点。
- ② 将支点左旋降级,变为左子节点。
- ③ 晋升原来的右子节点。
2.6.2.4 左旋(情况二)
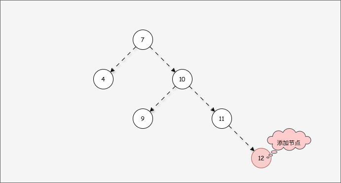
- 假设平衡二叉树,刚开始是这样的,如下所示:
- 现在,我们需要添加一个值为 12 的节点,如下所示:
- 此时树已经不平衡了,我们首先需要
确定支点,即:从添加的节点开始,不断地向父节点找不平衡的节点(左右高度差 >1 的节点)。

- 然后将遇到的第一个不平衡点作为支点,去判断是左旋还是右旋。
- 因为以 7 为支点,右子树比左子树多,所以需要进行左旋操作。

提醒
左旋步骤:
- ① 以不平衡点作为支点。
- ② 将根节点的右侧往左拉。
- ③ 原先的右子节点变为新的父节点,并将多余的左子节点出让,给已经降级的根节点当右子节点。
2.6.2.5 右旋(情况一)
- 假设平衡二叉树,刚开始是这样的,如下所示:
- 现在,我们需要添加一个值为 1 的节点,如下所示:
- 此时树已经不平衡了,我们首先需要
确定支点,即:从添加的节点开始,不断地向父节点找不平衡的节点(左右高度差 >1 的节点)。

- 然后将遇到的第一个不平衡点作为支点,去判断是左旋还是右旋。
- 因为以 4 为支点,左子树比右子树多,所以需要进行右旋操作。

提醒
右旋步骤:
- ① 以不平衡点作为支点。
- ② 将支点右旋降级,变为右子节点。
- ③ 晋升原来的左子节点。
2.6.2.6 右旋(情况二)
- 假设平衡二叉树,刚开始是这样的,如下所示:
- 现在,我们需要添加一个值为 1 的节点,如下所示:
- 此时树已经不平衡了,我们首先需要
确定支点,即:从添加的节点开始,不断地向父节点找不平衡的节点(左右高度差 >1 的节点)。

- 然后将遇到的第一个不平衡点作为支点,去判断是左旋还是右旋。
- 因为以 4 为支点,左子树比右子树多,所以需要进行右旋操作。

提醒
右旋步骤:
- ① 以不平衡点作为支点。
- ② 将根节点的左侧往右拉。
- ③ 原先的左子节点变为新的父节点,并将多余的右子节点出让,给已经降级的根节点当左子节点。
2.6.3 旋转的 4 种情况
2.6.3.1 概述
- 之前学习的左旋和右旋,仅仅是两种平衡的手段而已。
- 什么时候会触发左旋?什么时候会触发右旋?在添加节点的时候,会遇到以下四种情况:
- 左左。
- 左右。
- 右右。
- 右左。
2.6.3.2 左左
- 所谓的
左左,就是当根节点的左子树的左子树有节点插入,将会导致二叉树不平衡。
提醒
左左的情况,需要触发一次右旋,才能将二叉树重新平衡。
- 假设二叉树是这样的,如下所示:
- 那么,根节点的左子树就是这样,如下所示:
提醒
对于 7 来说,其左子树是 4、2、5 。
- 那么,根节点的左子树的左子树就是这样,如下所示:
提醒
- ① 对于 4 来说,其左子树是 2 。
- ② 对于 7 来说,其左子树是 4、2、5 。
- ③ 对于 7 来说,其左子树的左子树就是 2 。
- 当根节点的左子树的左子树有节点插入,即:2 的后面有节点插入,就会导致不平衡。
- 其实,如果插入的节点是 3 ,也会导致不平衡。
- 这正是
当根节点的左子树的左子树有节点插入,将会导致二叉树不平衡。
- 根据之前的方法,我们需要找到支点,即:从添加的节点开始,不断地向父节点找不平衡的节点(左右高度差 >1 的节点)。
提醒
支点就是 7 ,因为 7 的左子树的高度是 3,而右子树的高度是 1 ,不符合规则。
- 在这种情况下,不管我们是添加 1 还是添加 3 ,只需要一次右旋,就可以让二叉树重新平衡。

2.6.3.3 左右
- 所谓的
左右,就是当根节点的左子树的右子树有节点插入,将会导致二叉树不平衡。
提醒
左右的情况,需要触发二次右旋,才能将二叉树重新平衡。
- 假设二叉树是这样的,如下所示:
- 那么,根节点的左子树就是这样,如下所示:
提醒
对于 7 来说,其左子树是 4、2、5 。
- 那么,根节点的左子树的右子树就是这样,如下所示:
提醒
- ① 对于 4 来说,其右子树是 5 。
- ② 对于 7 来说,其左子树是 4、2、5 。
- ③ 对于 7 来说,其左子树的右子树就是 5 。
- 当根节点的左子树的左子树有节点插入,即:5 的后面有节点插入,就会导致不平衡。
提醒
这正是当根节点的左子树的右子树有节点插入,将会导致二叉树不平衡。
- 根据之前的方法,我们需要找到支点,即:从添加的节点开始,不断地向父节点找不平衡的节点(左右高度差 >1 的节点)。
提醒
支点就是 7 ,因为 7 的左子树的高度是 3,而右子树的高度是 1 ,不符合规则。
- 但是,右旋一次真的能让树重新平衡吗?

- 其实,从结果上看,我们知道,右旋一次并不能让树重新平衡。
提醒
产生了新的支点,支点是 4 ,因为 4 的左子树的高度是 1,而右子树的高度是 3 ,不符合规则。
- 此时,我们先将这棵树归位,如下所示:
- 首先,我们先将 7 的左子树进行局部左旋,如下所示:
- 局部左旋的动态示意图,如下所示:

- 其实,是将左右的情况,先变为左左,如下所示:
- 然后再整体进行右旋,此时就能让树再次平衡。

2.6.3.4 右右
- 所谓的
右右,就是当根节点的右子树的右子树有节点插入,将会导致二叉树不平衡。
提醒
右右的情况,需要触发一次左旋,才能将二叉树重新平衡。
- 假设二叉树是这样的,如下所示:
- 那么,根节点的右子树就是这样,如下所示:
提醒
对于 7 来说,其右子树是 10、9、11。
- 那么,根节点的右子树的右子树就是这样,如下所示:
提醒
- ① 对于 10 来说,其右子树是 11 。
- ② 对于 7 来说,其右子树是 10、9、11 。
- ③ 对于 7 来说,其右子树的右子树就是 11 。
- 当根节点的右子树的右子树有节点插入,即:11 的后面有节点插入,就会导致不平衡。
- 根据之前的方法,我们需要找到支点,即:从添加的节点开始,不断地向父节点找不平衡的节点(左右高度差 >1 的节点)。
提醒
支点就是 7 ,因为 7 的左子树的高度是 1,而右子树的高度是 3 ,不符合规则。
- 在这种情况下,只需要一次左旋,就可以让二叉树重新平衡。

2.6.3.5 右左
- 所谓的
右左,就是当根节点的右子树的左子树有节点插入,将会导致二叉树不平衡。
提醒
右左的情况,需要触发二次右旋,才能将二叉树重新平衡。
- 假设二叉树是这样的,如下所示:
- 那么,根节点的右子树就是这样,如下所示:
提醒
对于 7 来说,其右子树是 10、9、11 。
- 那么,根节点的左子树的左子树就是这样,如下所示:
提醒
- ① 对于 10 来说,其左子树是 9。
- ② 对于 7 来说,其右子树是 10、9、11 。
- ③ 对于 7 来说,其右子树的左子树就是 9 。
- 当根节点的右子树的左子树有节点插入,即:9 的后面有节点插入,就会导致不平衡。
提醒
这正是当根节点的右子树的左子树有节点插入,将会导致二叉树不平衡。
- 根据之前的方法,我们需要找到支点,即:从添加的节点开始,不断地向父节点找不平衡的节点(左右高度差 >1 的节点)。
提醒
支点就是 7 ,因为 7 的左子树的高度是 1,而右子树的高度是 3 ,不符合规则。
- 但是,左旋一次真的能让树重新平衡吗?

- 其实,从结果上看,我们知道,左旋一次并不能让树重新平衡。
提醒
产生了新的支点,支点是 10 ,因为 4 的左子树的高度是 3,而右子树的高度是 1 ,不符合规则。
- 此时,我们先将这棵树归位,如下所示:
- 首先,我们先将 7 的右子树进行局部右旋,如下所示:
- 局部右旋的动态示意图,如下所示:

- 其实,是将右左的情况,先变为右右,如下所示:
- 然后再整体进行左旋,此时就能让树再次平衡。

2.6.3.6 总结
- 二叉搜索树转平衡二叉树(平衡二叉搜索树)的四种情况:
| 情况 | 步骤 |
|---|---|
| 左左 | 一次右旋 |
| 左右 | 先局部左旋(转为左左),再整体右旋 |
| 右右 | 一次左旋 |
| 右左 | 先局部右旋(转为右右),再整体左旋 |
2.7 红黑树(Red Black Tree)
2.7.1 概述
- 红黑树是一种自平衡的二叉查找树,是计算机科学中用到的一种数据结构。
- 1972 年出现,当时被称之为平衡二叉 B 树。1978 年被修改为如今的“红黑树”。
- 它是一种特殊的二叉查找树,红黑树的每一个节点上都有
存储位表示节点的颜色。 每个节点可以是红或黑,红黑树不是高度平衡的,它的平衡是通过红黑规则进行实现的。
2.7.2 平衡二叉树 VS 红黑树
- 平衡二叉树:
- 高度平衡。
- 当左右子树的高度差超过 1 的时候,通过旋转保持平衡。
提醒
- ① 平衡二叉树比普通的二叉搜索树的查找效率高。
- ② 平衡二叉树有一个小小的弊端:在添加节点的时候,会造成添加节点的时间浪费,即:只要左右子树的高度差超过 1 的时候,就需要通过旋转保持平衡(强迫症)。
- 红黑树:
- 是一个二叉搜索树,但是不是高度平衡的。
- 条件是
特有的红黑规则,即:不符合红黑规则,才进行旋转或者进行一些其他的操作。
提醒
- ① 红黑树的规则要比平衡二叉树的规则(左右子树的高度差超过 1 的时候,通过旋转保持平衡)要松一些。
- ② 在红黑树中,有的节点的左右子树的高度可能会超过 1 ,只需要满足特有的红黑规则。
2.7.3 红黑规则
- ① 每个节点只能是红色或黑色的。
- ② 根节点必须是黑色。
- ③ 如果一个节点没有子节点或者父节点,则该节点相应的指针属性值为 Nil,这些 Nil 视为叶节点,每个叶节点(Nil)是黑色的。
提醒
- ① 在红黑树中,
Nil 节点(即空节点或叶节点)是非常重要的概念。它们实际上并不存储数据,而是作为树的虚拟叶子节点存在,用来表示某个节点的子节点不存在。根节点如果没有子节点,则它的子节点指针指向一个黑色的 Nil 节点。 - ②
根节点如果没有子节点,则它的子节点指针指向一个黑色的Nil节点。 - ③
每个非根节点的子节点,如果某个节点没有子节点,那么它的左右子节点都指向 Nil ,这些Nil节点是黑色的。
- ④ 如果某一个节点是红色,那么它的子节点必须是黑色(不能出现两个红色节点相连的情况)。
- ⑤ 对于每个节点,从该节点到其所有后代叶节点的简单路径上,均包含相同数目的黑色节点。
2.7.4 添加节点效率问题
2.7.4.1 概述
添加节点默认颜色:在红黑树中,添加节点是红色,效率是最高的。
2.7.4.2 添加节点是黑色
- 假设刚开始的节点是 20(黑色),那么红黑树就是这样的,如下所示:
- 现在我们添加了第二个节点 18(黑色),那么红黑树就是这样的,如下所示:
提醒
- ① 如果 18 是黑色,将会违背红黑树的规则,即:对于每个节点,从该节点到其所有后代叶节点的简单路径上,均包含相同数目的黑色节点。
- ② 20 到左 Nil 的简单路径上有 2 个黑色节点;但是,20 到右 Nil 的简单路径上有 1 个黑色节点。
- 现在我们添加了第二个节点 18(红色),那么红黑树就是这样的,如下所示:
提醒
- ① 如果 18 是红色,将不会违背红黑树的规则,即:对于每个节点,从该节点到其所有后代叶节点的简单路径上,均包含相同数目的黑色节点。
- ② 20 到左 Nil 的简单路径上有 1 个黑色节点;20 到右 Nil 的简单路径上有 1 个黑色节点。
- 如果我们添加了第三个节点 23(黑色),那么红黑树就是这样的,如下所示:
提醒
- ① 如果 23 是黑色,将会违背红黑树的规则,即:对于每个节点,从该节点到其所有后代叶节点的简单路径上,均包含相同数目的黑色节点。
- ② 20 到左 Nil 的简单路径上有 1 个黑色节点;但是,20 到右 Nil 的简单路径上有 2 个黑色节点。
- 如果我们添加了第三个节点 23(红色),那么红黑树就是这样的,如下所示:
提醒
- ① 如果 23 是红色,将不会违背红黑树的规则,即:对于每个节点,从该节点到其所有后代叶节点的简单路径上,均包含相同数目的黑色节点。
- ② 20 到左 Nil 的简单路径上有 1 个黑色节点;20 到右 Nil 的简单路径上有 1 个黑色节点。
提醒
添加三个黑色节点,我们需要调整两次。
2.7.4.3 添加节点是红色
- 假设刚开始的节点是 20(红色),那么红黑树就是这样的,如下所示:
- 违反了
根节点必须是黑色,所以需要调整一次,如下所示:
- 继续添加两个节点 18 和 23,都是红色,如下所示:
提醒
添加三个红色节点,我们需要调整一次。
2.7.5 添加节点规则
2.7.5.1 概述
- 红黑树在添加节点的时候,会有很多种情况会违背红黑树规则。
提醒
- ① 每个节点只能是红色或黑色的。
- ② 根节点必须是黑色。
- ③ 如果一个节点没有子节点或者父节点,则该节点相应的指针属性值为 Nil,这些 Nil 视为叶节点,每个叶节点(Nil)是黑色的。
- ④ 如果某一个节点是红色,那么它的子节点必须是黑色(不能出现两个红色节点相连的情况)。
- ⑤ 对于每个节点,从该节点到其所有后代叶节点的简单路径上,均包含相同数目的黑色节点。
- ⑥ 新添加的节点,默认是红色,效率最高。
- 我们需要学习添加节点的规则,如下所示:

提醒
准备的数据是:20、18、23、22、17、24、19 。
2.7.5.2 规则一
- 添加节点规则:
如果是根节点,直接变为黑色。 - 对于 20 来说,因为要添加是根节点,直接变为黑色,如下所示:

- 其完整动态图,如下所示:

2.7.5.3 规则二
- 添加节点规则:
如果是非根节点,且父节点是黑色,不需要任何操作。 - 对于 18 和 23 来说,不是根节点,且父节点 20 是黑色,那么不需要任何操作。

- 其完整动态图,如下所示:

2.7.5.4 规则三
- 添加节点规则:
如果是非根节点,且父节点是红色,叔叔也是红色,需要做如下的操作:- ① 将父节点设置为黑色,将叔叔节点设置为黑色。
- ② 将祖父节点设置为红色。
- ③ 如果祖父是根节点,再将根节点变为黑色。
- ④ 如果祖父是非根节点,将祖父设置为当前节点再进行其他判断。
- 对于 22 来说,应该作为 23 的左节点,如下所示:
提醒
- ① 违背了红黑规则,即:如果某一个节点是红色,那么它的子节点必须是黑色(不能出现两个红色节点相连的情况)。
- ② 23 和 22 都是红色节点,并且出现了红色节点相连的情况。
- 因为 22 的父节点 23 是红色,而 22 的叔叔节点 18 也是红色,就需要做如下的设置:
提醒
- ① 将父节点设置为黑色,将叔叔节点设置为黑色。
- ② 将祖父节点设置为红色。
- ③ 如果祖父是根节点,再将根节点变为黑色。
- ④ 如果祖父是非根节点,将祖父设置为当前节点再进行其他判断。

- 其完整动态图,如下所示:

2.7.5.5 规则二
- 添加节点规则:
如果是非根节点,且父节点是黑色,不需要任何操作。 - 对于 17 来说,不是根节点,且父节点 18 是黑色,那么不需要任何操作。

- 其完整动态图,如下所示:

2.7.5.6 规则二
- 添加节点规则:
如果是非根节点,且父节点是黑色,不需要任何操作。 - 对于 24 和 19 来说,不是根节点,且父节点 18 和 23 是黑色,那么不需要任何操作。

- 其完整动态图,如下所示:

2.7.5.7 规则三
添加节点规则:
如果是非根节点,且父节点是红色,叔叔也是红色,需要做如下的操作:- ① 将父节点设置为黑色,将叔叔节点设置为黑色。
- ② 将祖父节点设置为红色。
- ③ 如果祖父是根节点,再将根节点变为黑色。
- ④ 如果祖父是非根节点,将祖父设置为当前节点再进行其他判断。
如果现在要添加的节点是 15 ,应该作为 17 的左节点,如下所示:
提醒
- ① 违背了红黑规则,即:如果某一个节点是红色,那么它的子节点必须是黑色(不能出现两个红色节点相连的情况)。
- ② 17 和 15 都是红色节点,并且出现了红色节点相连的情况。
- 因为 15 的父节点 17 是红色,而 15 的叔叔节点 19 也是红色,就需要做如下的设置:
提醒
- ① 将父节点设置为黑色,将叔叔节点设置为黑色。
- ② 将祖父节点设置为红色。
- ③ 如果祖父是根节点,再将根节点变为黑色。
- ④ 如果祖父是非根节点,将祖父设置为当前节点再进行其他判断。

- 其完整动态图,如下所示:

2.7.5.8 规则四
添加节点规则:
如果是非根节点,且父节点是红色,叔叔是黑色,当前节点是父节点的左孩子,需要做如下的操作:① 将父节点设置为黑色。
② 将祖父节点设置为红色。
③ 以祖父作为支点进行右旋。
如果现在要添加的节点是 14 ,应该作为 15 的左节点,如下所示:
提醒
- ① 违背了红黑规则,即:如果某一个节点是红色,那么它的子节点必须是黑色(不能出现两个红色节点相连的情况)。
- ② 15 和 14 都是红色节点,并且出现了红色节点相连的情况。
- 因为 14 的父节点 15 是红色,而 14 的叔叔节点 Nil 是黑色,并且 14 是父节点 15 的左孩子,就需要做如下的设置:
提醒
① 将父节点设置为黑色。
② 将祖父节点设置为红色。
③ 以祖父作为支点进行右旋。

- 其完整动态图,如下所示:

2.7.5.9 规则五
- 添加节点规则:
如果是非根节点,且父节点是红色,叔叔是黑色,当前节点是父节点的右孩子,需要做如下设置:
提醒
只需要将父节点作为当前节点并左旋,再进行判断。
- 如果现在要添加的节点是不是 14,而是 16 ,应该作为 15 的右节点,如下所示:
提醒
- ① 违背了红黑规则,即:如果某一个节点是红色,那么它的子节点必须是黑色(不能出现两个红色节点相连的情况)。
- ② 15 和 16 都是红色节点,并且出现了红色节点相连的情况。
- 因为 16 的父节点 15 是红色,而 16 的叔叔节点 Nil 是黑色,并且 16 是父节点 15 的右孩子,需要做如下的设置:
提醒
只需要将父节点作为当前节点并左旋,再进行判断。

- 其完整动态图,如下所示:
